Shunt Resistor Calc

Ammeter Design Dc Metering Circuits Electronics Textbook

Pete Semig Applications Engineer Precision Linear Ppt Download

How Moving Coil Meters Work Explain That Stuff


Staccato Signals Shunt Voltage Reference Bias Resistor

Ammeter Design Dc Metering Circuits Electronics Textbook

What Is Ammeter Shunt Definition Shunt Resistance

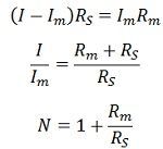
Meters Multipliers And Shunts

Problem Solving Find Shunt Resistance

Multi Range Analog Ammeter Ppt Download

Solved A D Arsonval Ammeter Is Shown In Figure 1 The L

Meters Multipliers And Shunts

A Difference Amp Is Being Used To Measure The Curr

What Is A Shunt Resistor Definition Formula Circuit Globe
Electricity Shunt Calculation For Ammeter Physics Forums
How Will A 0 10 Ma Moving Coil Meter Of 5w Resistance Be
Comments
Post a Comment